Maple怎么写三段分段函数详情
时间:2023-08-21 17:55:05  来源:网络


Maple软件在操作函数的时候是可以些三段分段函数的,可能有些用户不知道该怎么去操作,为此我们带来了教程帮助大家书写,下面就看看具体的方法,了解Maple怎么写三段分段函数详情吧。

Maple怎么写三段分段函数详情:

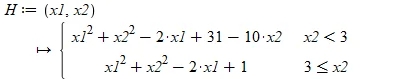
1、首先定义多元分断函数“H(x1,x2)”

Maple怎么写三段分段函数详情-1

2、之后绘制函数图像,可以切换成等值的线图

Maple怎么写三段分段函数详情-2

网格图为:

Maple怎么写三段分段函数详情-3

3、等值线图求函数极值为“9”。

Maple怎么写三段分段函数详情-4

4、调用率为:

Maple怎么写三段分段函数详情-5

5、求x1的极值点,x1=1

Maple怎么写三段分段函数详情-6

6、将下面的值代入,求x2的极值点x2=3

Maple怎么写三段分段函数详情-7

相关教程:算行列式

以上就是Maple怎么写三段分段函数详情的全部内容,望能这篇Maple怎么写三段分段函数详情可以帮助您解决问题,能够解决大家的实际问题是软件自学网一直努力的方向和目标。

热门电脑常识
1G流量看视频能用多久你知道吗
电脑应用程序无法正常启动(0xc00
很多人问1GB是多少兆流量啊我告
台式电脑如何连接wifi
快手小店网页版登录入口详情
怎么查看电脑的Mac地址
qq多彩气泡免费领取
如何解决电脑显示器有一条横线
电脑无法设置默认保存位置怎么办
买药哪个网站是正品便宜呢
电脑玩4399小游戏显示flash不支
一兆等于多少kb流量