Maple怎么显示计算积分的过程详情
时间:2023-08-23 14:29:29  来源:网络


Maple软件可以计算积分大家都知道,不过在计算的时候很多的用户反馈称没有显示计算的过程因此看起来很不方便,为此我们下面就带来了过程显示方法,来了解看看Maple怎么显示计算积分的过程详情吧。

Maple怎么显示计算积分的过程详情:

1、首先输入:

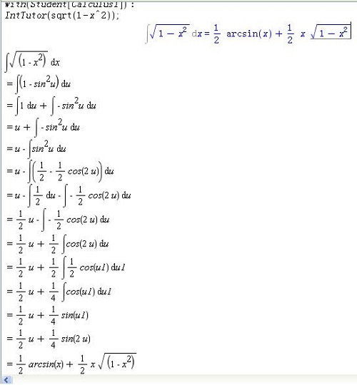
with(Student[Calculus1]):IntTutor(sqrt(1-x^2))

这个是举的例子,大家可以改成自己正在使用的函数

2、然后在图中选择“all steps”在结果中双击鼠标选中所有过程

3、之后按下快捷键“ctrl+c”来进行复制

4、关闭这个窗口,在工作去中按下“ctrl+v”粘贴即可。

5、最后还会有一个对话框,直接选择yes即可。

Maple怎么显示计算积分的过程详情-1

相关教程:算行列式

以上就是Maple怎么显示计算积分的过程详情的全部内容,望能这篇Maple怎么显示计算积分的过程详情可以帮助您解决问题,能够解决大家的实际问题是软件自学网一直努力的方向和目标。

热门电脑常识
1G流量看视频能用多久你知道吗
电脑应用程序无法正常启动(0xc00
很多人问1GB是多少兆流量啊我告
台式电脑如何连接wifi
快手小店网页版登录入口详情
怎么查看电脑的Mac地址
qq多彩气泡免费领取
如何解决电脑显示器有一条横线
电脑无法设置默认保存位置怎么办
买药哪个网站是正品便宜呢
电脑玩4399小游戏显示flash不支
一兆等于多少kb流量