word2021中如何插入二次公式
时间:2024-11-28 11:03:52  作者:彭老师

word2021中如何插入二次公式呢?具体插入操作过程步骤如下,希望能帮助到大家!

1、打开word2021软件,新建空白文档,点击插入菜单。

word2021中如何插入二次公式第1步

2、然后点击的公式,选择内置里面的二次公式。

word2021中如何插入二次公式第2步

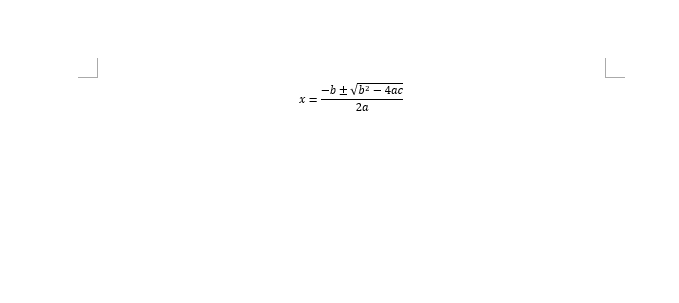
3、文档中就会插入一个二次公式。

word2021中如何插入二次公式第3步

热门
word文字下有蓝色双横线怎么去掉
word自动生成目录的方法与步骤
word怎么把其中的一页拷到另一个word文档中
word左右分页变成上下分页
word表格内容怎么往上移一行
word怎么加横线上面还能打字
word中图片高度宽度怎么设置
word彩色字体怎么弄
word怎么设置白色主题界面
word图片与图片间距
word下一页内容弄不到上一页的解决方法
电话激活Office2019教程